新闻详情
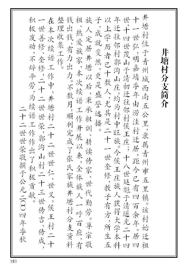
2004版《张氏族谱》——井塘村分支(含毛峪、郭沟山、侯王庄)
2017年05月22日10:51:24 资料提供:张敬华(柳家圈) 编辑整理:张成福(青崖头) 点击数:2697
《张氏族谱》第181-217页
上溯涝洼村总支第41页
根据张敬华提供的2004版《张氏族谱》电子版整理。如有错漏,敬请指正。
资料提供:张敬华 编辑上传:张成福
