用户登陆
|
用户注册
设为首页
加入收藏
简繁转换
首页
族史资料
影像档案
族人分布村庄简介
轶事传说贤士风采
文学艺苑
在线留言
首页
>
新闻中心
>
影像资料
> 正文
置顶
1
青州临朐钱塘张氏简介
12039
2
2004版《张氏族谱》——涝
9805
3
钱塘张氏隆重举行祖茔修缮落成
7536
4
兰升公及十六字序
7079
5
青州临朐钱塘张氏始祖华斋公
5055
6
钱塘张氏大事记(元、明、清、
4457
7
钱塘张氏大事记(1950-2
4386
8
2020年钱塘张氏障保峪祖茔
1911
热门
1
青州临朐钱塘张氏简介
12039
2
青州临朐钱塘张氏青崖头村分
10494
3
钱塘张氏2018年清明祭祖
9860
4
2004版《张氏族谱》——
9805
5
钱塘张氏始祖碑重修落成典礼
8821
6
2004版《张氏族谱》——
8306
7
钱塘张氏隆重举行祖茔修缮落
7536
8
2004版《张氏族谱》——
7254
9
兰升公及十六字序
7079
新闻详情
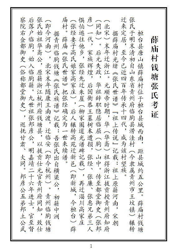
《张氏族谱》桓台薛庙分支(2018增补版)
2018年07月23日08:07:24 -- 点击数:3316
超大
大
中
小
备注:根据2004版桓台薛庙《张氏世谱》编录。
资料提供/张兵 校审/张传远 张敬华 张兵 张成欣 编辑/张成福